Công ty cổ phần Tập đoàn VCB Thông báo kết quả thi sát hạch môi giới BĐS tại Hà Nội năm 2020 (đợt 1), như sau:











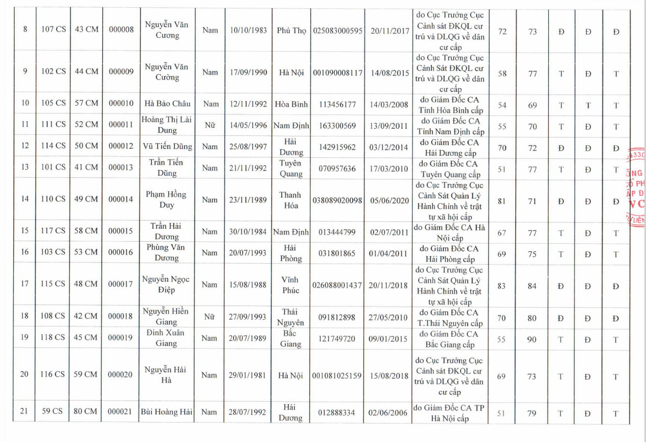
+ Những thí sinh đã thi đạt cả hai môn (kiến thức cơ sở và kiến thức chuyên môn) là những thí sinh có điểm số của cả hai môn đạt từ 70 điểm trở lên.
+ Những thí sinh không thi đạt là những thí sinh có điểm số dưới 70 điểm.
+ Thí sinh không thi đạt môn nào thì sẽ phải thi lại môn đó.
+ Thời gian tổ chức thi lại là ngày 01/4/2021. Công ty cổ phần Tập đoàn VCB sẽ có thông báo sau. Mọi thắc mắc các bạn vui lòng gọi theo số điện thoại bên dưới.
Trân trọng thông báo !
Danh sách kết quả điểm thi sát hạch môi giới BĐS Hà Nội (đợt 1
CÔNG TY CỔ PHẦN TẬP ĐOÀN VCB.
Địa chỉ: Số 214, Tòa nhà TSQ – EUROLAND, Làng Việt kiều châu Âu, Mộ Lao, Hà Đông, Hà Nội
Tel: 0243 8339 111
Hotline: 0928 070 888 – 0912 16 77 88 – 0936 136 606 – 0943 170 222.
Website: www.vcbgroup.vn
Fanpage: https://www.facebook.com/viendaotaonhanlucxaydungvietnam/
: https://www.facebook.com/congtycophantapdoanvcb
Email: [email protected]; [email protected]
Chúng tôi luôn đồng hành cùng thành công của bạn !
Always beside your success !


![[THÔNG BÁO] KẾ HOẠCH TỔ CHỨC THI SÁT HẠCH CHỨNG CHỈ HÀNH NGHỀ MÔI GIỚI BẤT ĐỘNG SẢN SỞ XÂY DỰNG HÀ TĨNH ĐỢT I NĂM 2024 13 Kế hoạch tổ chức thi chứng chỉ hành nghề môi giới bất động sản Hà tĩnh 2024](https://hocbatdongsan.com.vn/wp-content/uploads/2024/06/1-1024x576.png)

![[HOT NEWS 2023] KẾ HOẠCH VỀ VIỆC TỔ CHỨC KỲ THI SÁT HẠCH KIẾN THỨC MÔI GIỚI BẤT ĐỘNG SẢN TRÊN ĐỊA BÀN TỈNH LÂM ĐỒNG 2023 (ĐỢT 1) 15 KẾ HOẠCH Về việc tổ chức kỳ thi sát hạch kiến thức môi giới bất động sản trên địa bàn tỉnh Lâm Đồng năm 2023 (đợt 1)](https://hocbatdongsan.com.vn/wp-content/uploads/2023/07/Don-gian-Nui-Haiku-Anh-ghep-don-gian-Bai-dang-Facebook-3-1.png)
![[HOT NEWS] QUẢNG NINH - QUYẾT ĐỊNH ỦY QUYỀN THI SÁT HẠCH MÔI GIỚI BẤT ĐỘNG SẢN TỈNH QUẢNG NINH 16 QUYẾT ĐỊNH ỦY QUYỀN THI SÁT HẠCH MÔI GIỚI BẤT ĐỘNG SẢN TỈNH QUẢNG NINH](https://hocbatdongsan.com.vn/wp-content/uploads/2023/05/z4385465692679_a4213e98722ac09c993fdae81cf4993f-724x1024.jpg)

Zalo Messager
Facebook Messager
Hotline : 091 216 7788